Aarhus Universitets segl

News archive

Congratulations to Andreas

In October, Andreas successfully defended his PhD titled "Observation of quantum beats and induced interactions - Polarons in Bose-Einstein condensates".

The assessment committee consisted of Prof. Jacques Tempere from the University of Antwerp and Assoc. Prof. Robert Smith from the University of Oxford

Andreas will stay in the group as a postdoc to continue with his scientifc work!

His thesis is available here.

(10/2024)

Atom number fluctuations in Bose gases—statistical analysis of parameter estimation

In a recent paper we presented our investigations of atom number fluctuations in a partially condensed Bose gas. A microcanonical approach allows for analyzing both the thermal and condensed components resulting in a comprehensive analysis for the atom number uncertainties. Importantly, this analysis allows for estimating the BEC atom number fluctuation close to the critical temperature, which is observed to be 41% lower compared to previous analysis. Finally, by simulating known noise contributions through Monte-Carlo simulations, the technical noise contributions of the experiment are estimated, a technique which can be generally applied in our field.

Our paper is available here.

(09/2024)

Spatial calibration of high-density absorption imaging

In a recent paper we presented a calibration technique for analyzing absorption images, which addresses the ubiquitous problem of accurately determining atom numbers in ultracold gases. The calibration coefficient shows a dependency on the optical density which varies spatially, and we provide a practical guide to account for this. Corrections in the detected atom number using this technique is demonstrated to be as high as 12% compared to previous techniques. Further work to better understand the internal scattering process of ultracold gases is necessary to include such effects in the atom number determination.

Our paper is available here.

(06/2024)

Congratulations and farewell to Toke

In March, Toke successfully defended his PhD titled "Statistical analysis of atom number fluctuations in quantum degenerate Bose gases".

This also marks his depature from the group as he has accepted a position at Terma!

We wish him the best of luck!

His thesis is available here.

(03/2024)

Welcome to Morten and Ilja

In Feburary Morten Teglgaard Strøe and Ilja Zebergs joined our group as PhD students!

Morten has joined the "MIX" lab to continue the ongoing investigations of the Bose polaron, whereas Ilja has joined the "Lattice" lab to work on EIT experiments.

CONGRATULATIONS on starting the PhD!

(02/2024)

Microcanonical and canonical fluctuations in atomic BECs

In a recent paper we have clarified a number of misconceptions regarding the effect of interactions on fluctuations. This discussion in the field is typically centered around the appropriate thermodynamic ensemble to be used for theoretical predictions and the effect of interactions on the observed fluctuations. We introduce the so-called Fock state sampling method to solve this classic problem of current experimental interest for weakly interacting gases. A suppression of the predicted peak fluctuations is observed when using a microcanonical with respect to a canonical ensemble. Moreover, interactions lead to a shift in the temperature of peak fluctuations for harmonically trapped gases. The absolute size of the fluctuations furthermore depends on the total number of atoms and the aspect ratio of the trapping potential. Due to the interplay of these effect, there is no universal suppression or enhancement of fluctuations.

Our paper is available here.

(03/2023)

Welcome to Laurits

In the spring Laurits Nikolaj Stokholm joined our group as a PhD student!

Laurits has joined the "Lattice" lab where his project aims at investigating impurities coupled to light.

CONGRATULATIONS on starting the PhD!

(03/2023)

Life and death of the Bose polaron

Our latest results on the secret life of the polaron were published in PRR.

In this paper we watch the polaron´s birth and death both spectroscopically ind interferometrically! In particular, we investigate the polaron birth by interferometric measurements at strong interactions,  revealing faster quantum dynamics at large repulsive interaction strengths than at unitarity. Moreover, we extract the polaron energy  from interferometric measurements of the observed phase velocity in agreement with previous spectroscopic results from weak to strong attractive interactions. Finally, the phase evolution allows us to measure an energetic equilibration timescale, describing the initial approach of the phase velocity to the polaron energy. In total, our results give a comprehensive picture of the many-body physics governing the Bose polaron and thus validate the quasiparticle framework for further studies.

Our paper is also available on arXiv.

(11/2022)

Welcome to Malthe and Søren

Recently two noew PhD stdents have joined our group!

Malthe has joined the "Lattice" lab where his project aims at investigating impurities coupled to light.

Søren is part of the "MIX" team where our sucessfull investigation of the Bose polaron is continued.

COGRATULATIONS on staring the PhD!

(09/2022)

New grant will enable 7 years of research on quantum simulation

Our group has been awareded a "New Exploratory Research and Discovery" (NERD) grant by the Novo Nordisk Foundation!

Over the next 7 years we will contribute to the basic understanding of quantum systems and find out how quantum mechanics can help to define technological development.

The NERD grant aims to provide support for research projects in the natural sciences based on wild and unorthodox ideas that can provide new knowledge in technology or the natural sciences.

Further details are given here.

(07/2022)

Mediated interactions between ions in quantum degenerate gases

We have explored the effect of mediated interaction between two ions in a BEC

We explored the interaction between two trapped ions mediated by a surrounding quantum degenerate Bose or Fermi gas. Using perturbation theory valid for weak atom-ion interaction, we show analytically that the interaction mediated by a Bose gas has a power-law behaviour for large distances whereas it has a Yukawa form for intermediate distances. In partucular we showed that the mediated interaction can be a significant addition to the bare Coulomb interaction between the ions, when an atom-ion bound state is close to threshold. In view of experiments we show that the induced interaction leads to substantial and observable shifts in the ion phonon frequencies.

Our paper is available on on arXiv.

(03/2022)

Fluctuations in Bose-Einstein Condensates - Interactions demystified

The fluctuations of the atom number between a Bose-Einstein condensate and the surrounding thermal gas have been the subject of a long standing theoretical debate. Here we introduce the so-called Fock state sampling method to solve this classic problem. A suppression of the predicted peak fluctuations is observed when using a microcanonical with respect to a canonical ensemble. Moreover, interactions lead to a shift of the temperature of peak fluctuations for harmonically trapped gases. Due to the interplay of these effects, there is no universal suppression or enhancement of fluctuations.

Our paper is available on on arXiv.

The paper is under review at SciPost where the review process can be followed.

(07/2022)

Presentation of the Lee-Huang-Yang Fluid

Recently presented our work on the Lee-Huang-Yang fluid in the UK Quantum Fluids Network

You can watch the talk below or directly on YouTube: https://www.youtube.com/watch?v=rThvx0Y4rug

Our paper is available on the APS pages or on arXiv.

(3/2022)

Visninger

Farewell to Magnus and Thomas

Both Magnus and Thomas have defended their PhDs very sucessfuly in 2021!

The key results from bith thesis were published this year in Nature Physics and PRL.

COGRATULATIONS!

(10/2021)

Observation of a Lee-Huang-Yang Fluid

Our recent observation of a Lee-Huang-Yang fluid was published in PRL!


In our experiments we created a mixture of Bose-Einstein condensates, governed by the so-called Lee-Huang-Yang (LHY) interaction, which describes the effect of quantum fluctuations. Experimentally we realized this by controlling the atom numbers and interaction strengths in a spin mixture of two states of 39K confined in a spherical trap. We measured the monopole oscillation frequency as a function of the LHY interaction strength and found very good agreement with a complete simulation of the experiment done in our group. This confirms that the system and its collective behavior are dominated by LHY interactions!  

Further details on our work are available on the CCQ pages.

Our paper is available on the APS pages or on arXiv.

(6/2021)

Microcanonical Fluctuations in a Bose-Einstein Condensate


Published in PRL:
Quantum systems are typically characterized by the inherent fluctuation of their physical observables. However, fluctuations in interacting quantum systems are not well understood theoretically and have resisted experimental measurement efforts. In our paper we report the characterization of atom number fluctuations in weakly interacting Bose-Einstein condensates. In particular we observe fluctuations reduced by 27% below the canonical expectation, revealing the microcanonical nature of our system!

Read or paper at APS or on arXiv.

(04/2021)

Coverage in popular science media

Our paper, elucidating dynamics of quantum impurities, was recently described in two popular science articles. You can find these articles on phys.org (here) and space.com (here).


If you are further interested, you can watch our brief explanatory video (here) or read the publication (here).

(03/2021)

Farewell to Mick

Mick has recently left our research group and joined Kamstrup. His PhD and PostDoc were very successful and we will profit from his ideas for future research. We wish you an equally productive and successful time in the new job.

(02/2021)

Non-equilibrium dynamics of quantum impurities

Update: Accepted for publication in Nature Physics.


Advancing our understanding of non-equilibrium phenomena in quantum many-body systems remains among the greatest challenges in physics. Here, we report on the experimental observation of a paradigmatic many-body problem, namely the non-equilibrium dynamics of a quantum impurity immersed in a bosonic environment. The impurity is created and monitored using an interferometric technique in a quantum degenerate gas. Thus we are able to trace the complete impurity evolution from its initial generation to the ultimate emergence of quasiparticle properties, forming the Bose polaron. These results offer a first systematic picture of polaron formation from weak to strong impurity interactions. They reveal three distinct regimes of evolution with dynamical transitions that provide a link between few-body processes and many-body dynamics. Our measurements reveal universal dynamical behavior in interacting many-body systems and demonstrate new pathways to study non-equilibrium quantum phenomena.

Read our paper here (Nature Physics) or on arXiv.

(Updated 03/2021)

Fluctuations of a Quantum Gas: Solving the Ensemble Question"

Recently we presented our work on the Fluctuations of a Quantum Gas at the Centre for AMO Physics at University of Warsaw

You can watch the talk below or directly on YouTube: https://www.youtube.com/watch?v=5S-TiZSP0I8

(11/2020)

Visninger

Welcome Claus and Andreas

We welcome Claus and Andreas, who just started as PhD students in the Lattice and MIX lab, respectively. Claus has a theoretical background from his Master's degree, while Andreas did his bachelor project within the group and is now enrolled in a combined Master and PhD. They are both from our institute! Best of luck to Claus and Andreas!

(11/2020)

Congratulations and farewell to Mikkel

Mikkel recently finished his PhD in the group and is now ready to move on to new challenges. We wish you good luck in the future.

(9/2020)

Young Researchers Workshop on Quantum Fluctuations in Ultra-cold Gases

Magnus G. Skou and Thomas G. Skov will both give a talk at the virtual workshop, Young Researchers Workshop on Quantum Fluctuations in Ultra-cold Gases.

It is a workshop for young researchers working in the areas of ultra-cold quantum gases and liquids and the main focus  is to address the phenomenon of quantum fluctuations in different systems such as polarons, droplets, superfluids, supersolids, etc.

More information is found on the workshop home page.

(09/2020)

Spatial tomography of individual atoms in a quantum gas microscope

In our most recent paper we show a method to determine the position of single atoms in a three-dimensional optical lattice. Typically atoms are sparsely loaded from into a few vertical planes of a cubic optical lattice positioned near a high-resolution microscope objective. In a single realization of the experiment, we pin the atoms in deep lattices and then acquire multiple fluorescence images with single-site resolution. The objective is translated between images, bringing different lattice planes of the lattice into focus. This opens up the possibility of extending the domain of quantum simulation using quantum gas microscopes from two to three dimensions.

Accepted for publication in Phys. Rev. A. - read our paper on arXiv.

(09/2020)

New group member

We welcome our newest member in the group, who is expected to help in both the lab, the office and networking situations. Despite the lack of experience, our new member has already proven it’s worth and is now working with very few breaks. Best of luck to our new espresso machine!

(07/2020)

New Grant: Quantum Fluids beyond the Mean-Field Paradigm

Jan Arlt has received a new grant from the Danish Council for Independent Research: Quantum Fluids beyond the Mean-Field Paradigm.

Quantum fluids play an important role in applications as well as fundamental research. Understanding their macroscopic properties is, however, particularly challenging and theoretical descriptions are often limited to the case of weak interactions, where a mean-field approach is sufficient. In a seminal result, the first correction term was obtained by Lee, Huang and Yang in 1957 (LHY), but it was only recently observed using ultracold atomic gases.

We have proposed a novel approach to study LHY quantum fluctuations by tuning the properties of a two-component Bose-Einstein condensate, such that the LHY correction is the only relevant interaction energy. Thus, it will be possible to obtain clear experimental signals beyond the mean-field paradigm and extend the current understanding of these quantum systems. Moreover, we will evaluate the use of this novel LHY fluid as a quantum simulator for highly nonlinear quantum systems.

(06/2020)

Simulation of XXZ Spin Models using Sideband Transitions in Trapped Bosonic Gases

We theoretically propose and experimentally demonstrate the use of motional sidebands in a trapped ensemble of 87Rb atoms to engineer tunable long-range XXZ spin models. We benchmark our simulator by probing a ferromagnetic to paramagnetic dynamical phase transition in the so called Lipkin-Meshkov-Glick (LMG) model, a collective XXZ model plus additional transverse and longitudinal fields, via Rabi spectroscopy. We experimentally reconstruct the boundary between the dynamical phases, which is in good agreement with mean-field theoretical predictions. In addition we analyze the achievable spin squeezing in our XXZ simulator theoretically, opening the possibilities of using motional sidebands as a tool to push the frontiers of metrology via quantum entanglement.

Read our paper on arXiv.

(04/2020)

Preparation of mesoscopic atomic ensembles with single-particle resolution

We contributed to the detection and stabilization of single atoms in collaboration with the Quantum Atom Optics group at Hannover University.

In our joint work we present an accurate fluorescence detection technique for atoms that is fully integrated into an experimental apparatus for the production of entangled quantum states. Single-particle resolving fluorescence measurements for 1 up to 30 atoms are presented. We utilize the accurate atom number detection for a number stabilization of the laser-cooled atomic ensemble. For a target ensemble size of 7 atoms prepared on demand, we achieve a 92% preparation fidelity and reach number fluctuations 18dB below the shot noise level using real-time feedback on the magneto-optical trap.   

See our publication on arXiv.

(12/2019)

Farewell to Nils

 

Nils has recently left the group to join Patentgruppen. His PhD and PostDoc were very successful and we will profit from his ideas for future research. We wish you an equally productive and successful time in the new job.

(11/2019)

Observation of fluctuations in a BEC discussed on TV!

Prof. Kazimierz Rzążewski and Dr. Krzysztof Pawłowski discuss our recent observation of atom number fluctuations in a Bose-Einstein condensation on an English language TV channel from Poland. The TV spot is available here. Enjoy!

(07/2019)

Popular talk by Jan Arlt - Answering Schrödinger's puzzle: Fluctuations of a quantum gas

Jan Arlt recently gave an invited talk at the Center for Theoretical Physics of the Polish Academy of Sciences. The talk is available on YouTube. Enjoy!

(06/2019)

Analyzing a Bose Polaron Across Resonant Interactions

Recently, two independent experiments reported the observation of long-lived polarons in a Bose-Einstein condensate, providing an excellent setting to study the generic scenario of a mobile impurity interacting with a quantum reservoir. Here we expand the experimental analysis by disentangling the effects of trap inhomogeneities and the many-body continuum in one of these experiments. This makes it possible to extract the energy of the polaron at a well-defined density as a function of the interaction strength. Comparisons with quantum Monte Carlo as well as diagrammatic calculations show good agreement, and provide a more detailed picture of the polaron properties at stronger interactions than previously possible. Moreover, we develop a semiclassical theory for the motional dynamics and three-body loss of the polarons, which partly explains a previously unresolved discrepancy between theory and experimental observations for repulsive interactions. Finally, we utilize quantum Monte Carlo calculations to demonstrate that the findings reported in the two experiments are consistent with each other.

Read our paper in Physical Review A or on arXiv.

(06/2019)

Editors suggestion in Phys. Rev. Lett.: Observation of Atom Number Fluctuations in a Bose-Einstein Condensate

Fluctuations are a key property of both classical and quantum systems. While the fluctuations are well understood for many quantum systems at zero temperature, the case of an interacting quantum system at finite temperature still poses numerous challenges. Despite intense theoretical investigations of atom number fluctuations in Bose-Einstein condensates, their amplitude in experimentally relevant interacting systems is still not fully understood. Moreover, technical limitations have prevented their experimental investigation to date. Here we report the observation of these fluctuations. Our experiments are based on a stabilization technique, which allows for the preparation of ultracold thermal clouds at the shot noise level, thereby eliminating numerous technical noise sources. Furthermore, we make use of the correlations established by the evaporative cooling process to precisely determine the fluctuations and the sample temperature. This allows us to observe a telltale signature: the sudden increase in fluctuations of the condensate atom number close to the critical temperature.

Read our paper in Physical Review Letters or on arXiv.

(04/2019)

Spatially-selective magnetometry of ultracold atomic clouds

We demonstrate novel implementations of high-precision optical magnetometers which allow for spatially-selective and spatially-resolved in situ measurements using cold atomic clouds. These are realised by using shaped dispersive probe beams combined with spatially-resolved balanced homodyne detection. Two magnetometer sequences are discussed: a vectorial magnetometer, which yields sensitivities two orders of magnitude better compared to a previous realisation and a Larmor magnetometer capable of measuring absolute magnetic fields. We characterise the dependence of single-shot precision on the size of the analysed region for the vectorial magnetometer and provide a lower bound for the measurement precision of magnetic field gradients for the Larmor magnetometer. Finally, we give an outlook on how dynamic trapping potentials combined with selective probing can be used to realise enhanced quantum simulations in quantum gas microscopes.

Read our published paper in Journal of Physics B or on arXiv.

(03/2019)

Welcome Toke

We welcome Toke Vibel, who starts as a Ph.D. in the lattice lab. He did his Bachelors at the Niels Bohr Institute, and is now ready to do research in our group. Best of luck to Toke!

(02/2019)

Temperature dependence of an Efimov resonance in 39K (copy 1)

Ultracold atomic gases are an important testing ground for understanding few-body physics. In particular, these systems enable a detailed study of the Efimov effect. We use ultracold 39K to investigate the temperature dependence of an Efimov resonance. The shape and position of the observed resonance are analyzed by employing an empirical fit, and universal finite-temperature zero-range theory. Both procedures suggest that the resonance position shifts towards lower absolute scattering lengths when approaching the zero-temperature limit. We extrapolate this shift to obtain an estimate of the three-body parameter at zero temperature. A surprising finding of our study is that the resonance becomes less prominent at lower temperatures, which currently lacks a theoretical description and implies physical effects beyond available models. Finally, we present measurements performed near the Feshbach resonance center and discuss the prospects for observing the second Efimov resonance in 39K.

Read our published paper at PRA or on arXiv.

(11/2018)

Dilute Fluid Governed by Quantum Fluctuations, published in PRL

Understanding the effects of interactions in complex quantum systems beyond the mean-field paradigm constitutes a fundamental problem in physics. Here, we show how the atom numbers and interactions in a Bose-Bose mixture can be tuned to cancel mean-field interactions completely. The resulting system is entirely governed by quantum fluctuations - specifically the Lee-Huang-Yang correlations. We derive an effective one-component Gross-Pitaevskii equation for this system, which is shown to be very accurate by comparison with a full two-component description. This allows us to show how the Lee-Huang-Yang correlation energy can be accurately measured using two powerful probes of atomic gases: collective excitations and radio-frequency spectroscopy. Importantly, the behavior of the system is robust against deviations from the atom number and interaction criteria for cancelling the mean-field interactions. This shows that it is feasible to realize a setting where quantum fluctuations are not masked by mean-field forces, allowing investigations of the Lee-Huang-Yang correction at unprecedented precision.

See also this news announcement.

Read our published paper in Physical Review Letters or on arXiv.

(10/2018)

Fabrice Gerbier visits

Researcher Fabrice Gerbier from CNRS in France is visiting the department. He has recently studied the spacial coherence in a superfluid gas of bosonic atoms in an optical lattice. For independent atoms excited by a near-resonant laser, absorption-emission cycles destroy spatial coherences related to diffusion in momentum space. For strongly interacting bosons, Fabrice observed an anomalously slow coherence due to clustering of atoms.

Link to official lecture event.

(09/2018)

Gabriele Ferrari visits

Researcher Gabriele Ferrari from Trento is visiting the department. By rapidly crossing the critical temperature to Bose-Einstein condensation, he has studied the growth of boundary defects, related to the Kibble-Zurek mechanism. These defects are identified as quantized vortices, and in his research, Gabriele has studied their real-time dynamics and interactions.

Link to official lecture event.

(09/2018)

Mick´s PhD defense - Atom Number Jumps in Ultracold Clouds

During his studies, Mick Althoff Kristensen has studied atom clouds cooled to ultra low temperatures. When a cloud of atoms is cooled to the lowest temperatures found anywhere in the universe, their quantum mechanical nature reveals itself. A prime example is the Bose-Einstein condensate, where the atoms accumulate in the quantum mechanical ground state and form a single large quantum object. Mick Althoff Kristensen has developed the most stable source of Bose-Einstein condensates, which has allowed him to study how atoms jump in and out of the condensate.

(09/2018)

Measurement-enhanced determination of BEC phase transitions

We demonstrate how dispersive atom number measurements during evaporative cooling can be used for enhanced determination of the parameter dependence of the transition to a Bose–Einstein condensate (BEC). In this way shot-to-shot fluctuations in initial conditions are detected and the information extracted per experimental realization is increased. We furthermore calibrate in situ images from dispersive probing of a BEC with corresponding absorption images in time-of-flight. This allows for the determination of the transition point in a single experimental realization by applying multiple dispersive measurements. Finally, we explore the continuous probing of several consecutive phase transition crossings using the periodic addition of a focused 'dimple' potential.

Read our published paper or the arXiv version.

(08/2018)

Center for Quantum Optics and Quantum Matter hosts conference on quantum simulations

The concept of quantum simulation is currently being realised in an increasing range of physical systems with expanding scope and success. Neutral atoms and photons are among the most promising building blocks of quantum simulators, owing to the remarkable degree to which they can nowadays be controlled in the laboratory. This workshop will explore the frontier of these exciting developments. It will thereby provide opportunities to identify current challenges and new directions in the field of quantum simulations by sharing latest results and ideas across different platforms, ranging from photonic settings and polariton systems to cold atom experiments. By bringing together experts on this range of topics, the workshop aims to provide an inspiring venue for discussing common interests and future perspectives for experiments as well as theory of quantum-many body systems in and out of equilibrium.

The workshop is organized jointly by the Center for Quantum Optics and Quantum Matter (CQOM) at Aarhus University and the Institute for Theoretical Atomic, Molecular and Optical Physics (ITAMP) at the Harvard-Smithsonian Center for Astrophysics.

See more on the workshop homepage.

(08/2018)

Thomas Killian visits

Professor Thomas Killian from Rice University is visiting the department. He has recently observed polaron physics by immersing a Rydberg atom in a Bose-Einstein condensate. Moreover he is developing experimental techniques for studying strongly correlated plasmas using ultracold atoms.

Link to official lecture event.

(05/2018)

New grant: Quantum simulation of quasiparticles

Georg Bruun and Jan Arlt have received a new grant from the Danish Council for Independent Research: Quantum simulation of quasiparticles.

An announcement is available in danish here.

(05/2018)

Time-of-flight expansion of binary Bose-Einstein condensates at finite temperature - published in New Journal of Physics

Ultracold quantum gases provide a unique setting for studying and understanding the properties of interacting quantum systems. Here, we investigate a multi-component system of 87Rb–39K Bose–Einstein condensates (BECs) with tunable interactions both theoretically and experimentally. Such multi-component systems can be characterized by their miscibility, where miscible components lead to a mixed ground state and immiscible components form a phase-separated state. Here we perform the first full simulation of the dynamical expansion of this system including both BECs and thermal clouds, which allows for a detailed comparison with experimental results. In particular we show that striking features emerge in time-of-flight (TOF) for BECs with strong interspecies repulsion, even for systems which were separated in situ by a large gravitational sag. An analysis of the centre of mass positions of the BECs after expansion yields qualitative agreement with the homogeneous criterion for phase-separation, but reveals no clear transition point between the mixed and the separated phases. Instead one can identify a transition region, for which the presence of a gravitational sag is found to be advantageous. Moreover, we analyse the situation where only one component is condensed and show that the density distribution of the thermal component also shows some distinct features. Our work sheds new light on the analysis of multi-component systems after TOF and will guide future experiments on the detection of miscibility in these systems.

Read our manuscript in New Journal of Physics or on the arXiv.

(05/2018)

Zoran Hadzibabic visits

Professor Zoran Hadzibabic from Cambridge University is visiting the department. By constructing a box potential for ultracold atoms, he has recently made major contributions to the field. More specifically, the box potential has opened up for new studies both weakly an strongly interacting Bose gases, in and out of equilibrium.

Link to official lecture event.

(03/2018)

Congratulations to Nils!

On the 23rd of February, Nils Byg Jørgensen successfully defended his PhD thesis "Observation of Bose Polarons in a Quantum Gas Mixture". The assessment committee consisted of Prof. Matthias Weidemüller from Heidelberg University in Germany and Researcher Matteo Zaccanti from the University of Florence. The thesis is currently available here. He will carry on his scientific work by continuing in the group as a postdoctoral researcher. (02/2018)

Matthias Weidemüller visits

Professor Matthias Weidemüller from Heidelberg University is visiting the department. In his recent research, he has explored mass-imbalanced Li-Cs mixtures. These are especially well-suited for studies of heteronuclear Efimov physics, since the mass imbalance yields a scaling factor which allows observation of multiple consecutive Efimov resonances.

Link to official lecture event.

(02/2018)

Matteo Zaccanti visits

Researcher Matteo Zaccanti from LENS in Florence is visiting the department. In his research career, he has conducted important studies on KRb mixtures, Efimov states, Fermi polaron physics, and ferromagnetic Fermi gases and has thus made many important contributions to the field of ultracold gases.

Link to official lecture event.

(02/2018)

Finite-temperature behavior of the Bose polaron

After our recent observation of the Bose polaron, we are aiming to understand the quasiparticle in more depth.

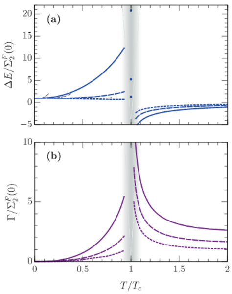
Here we consider a mobile impurity immersed in a Bose gas at finite temperature. Using perturbation theory valid for weak coupling between the impurity and the bosons, we derive analytical results for the energy and damping of the impurity for low and high temperatures, as well as for temperatures close to the critical temperature Tc for Bose-Einstein condensation. These results show that the properties of the impurity vary strongly with temperature. The energy exhibits an intriguing non-monotonic behavior close to Tc, and the damping rises sharply close to Tc. We finally discuss how these effects can be detected experimentally.

Read our manuscript in Physical Review A or on the arXiv.

(01/2018)

New grant: Optical traps for quasiparticle quantum simulation

Jan Arlt has received a new grant from The Carlsberg Foundation: Optical traps for quasiparticle quantum simulation.

(11/2017)

Center for Quantum Optics and Quantum Matter opens

The new Center for Quantum Optics and Quantum Matter (CQOM) was established and opened on November 8. The center brings together research from local experimental and theoretical groups who study diverse quantum phenomena, including the Ultracold Quantum Gases Group.

On the opening day, the different research directions were presented and discussed. Additionally, a CQOM talk was given by Nils Byg Jørgensen, and an invited talk was given by Richard Smith (ITAMP, Harvard-Smithsonian Center for Astrophysics and Harvard University).

(11/2017)

Magnus wins the Deans Challenge

Magnus from the ultracold quantum gases group participated in this years annual case competition, Dean's Challenge. He had developed a rollator with automatic breaking and alarm system, which awarded him the first price in the HEALTH category. Congratulations to Magnus!

A news article in danish is available here.

(10/2017)

Nils wins Poster Prize at CoQIPC 2017

The IST Austria recently hosted the Conference on Controllable Quantum Impurities in Physics and Chemistry (CoQIPC 2017). Nils went to the conference with his poster on the recent observation of bose polarons, and was awarded the Keysight Technologies Poster Prize of the poster competition. Congratulations!

(08/2017)

Welcome Thomas

In this month, we welcome Thomas Guldager Skov, who starts as a Ph.D. in the MIX lab. He previously did a bachelors project with the MIX team, and is now ready to do full time research. Best of luck to Thomas!

(08/2017)

Goodbye Lars!

Lars Wacker found a job at Danish National Metrology Institute (DFM) in Copenhagen and will thus unfortunately leave our group. Lars did his PhD in the MIX lab and continued for a year and a half as a postdoctoral researcher. During his time here, he has been crucial in developing the MIX lab into its current great condition. Especially in the first production of KRb dual BECs, and in our few-body Efimov studies, he has made essential contributions. We wish him the best of luck in his future endeavours!

(04/2017)

A portable rotating waveplate polarimeter

We describe the construction and performance of a polarimeter based on a quarter-wave plate rotated by a model airplane motor. The motor rotates at a high angular frequency of ω∼2π×160, which enables the polarimeter to monitor the polarization state of an incident beam of light in real-time. We show that a simple analysis of the polarimeter signal using the fast Fourier transform on a standard digital oscilloscope provides an excellent measure of the polarization state for many laboratory applications. The polarimeter is straightforward to construct, portable, and features a high-dynamic range, facilitating a wide range of optics laboratory tasks that require free-space or fiber-based polarization analysis. 

Read our manuscript in Review of Scientific Instruments.

(04/2017)

Sub-atom shot noise Faraday imaging of ultracold atom clouds

We have developed an imaging technique which can measure the atom number below the atom shot noise level. This work is closely related to our recent work on feedback stabilization of atom numbers. We use Faraday imaging which allows multiple images of the same cloud to be acquired. To describe the expected noise, we have developed a model based on photon shot noise and single atom loss. For clouds containing N~5×106 atoms, a precision more than a factor of two below the atom shot noise level is achieved.

Our manuscript on this work has been published in Journal of Physics B as part of a special issue on addressing quantum many-body problems with cold atoms and molecules.

Read the manuscript in Jour. Phys. B or on arXiv!

(01/2017)

Absence of observable Efimov resonances in ultracold KRb mixtures

In previous experiments with ultracold mixtures of potassium and rubidium, an unexpected non-universal behavior of Efimov resonances was observed. We have measured the scattering length dependent three-body recombination coefficient in ultracold heteronuclear mixtures of 39K-87Rb and 41K-87Rb and do not observe any signatures of Efimov resonances. This reestablishes universality of the three-body parameter across isotopic mixtures.

The article is published in Physical Review Letters and available on arXiv.

(10/2016)

Improvement of an Atomic Clock using Squeezed Vacuum

Since the pioneering work of Ramsey, atom interferometers are employed for precision metrology. In a classical interferometer, atoms are prepared in one of the two input states, whereas the second one is left empty. In this case, the vacuum noise restricts the precision of the interferometer to the standard quantum limit (SQL). We have experimentally demonstrated a novel clock configuration that surpasses the SQL by squeezing the vacuum in the empty input state. As such, 0.75 atoms improve the clock signal of 10,000 atoms!

Published in Physical Review Letters and available on arXiv.

(09/2016)

Goodbye Andrew!

Andrew got an industry job in New Zealand and is thus leaving the group. Throughout the last years, he has been a vital part of the Lattice lab, conducting remarkable research. Besides his work in the Lattice lab, his expertise has also been a major benefit for the rest of the Ultracold Quantum Gases Group. We wish him and his family the best in New Zealand!

(09/2016)

Figure selected for Phys. Rev. A Kaleidoscope

A figure from our recent paper on phase separation and dynamics of two-component Bose-Einstein condensates was selected to be on display as part of the Phys. Rev. A Kaleidoscope!

Extra credit goes out to Kean Loon Lee who was main author on the paper.

Read the paper here or on arxiv

(08/2016)

 

Choose the Number of Atoms in Your Cloud: Preparation of Ultracold Atom Clouds at the Shot Noise Level

Experiments with ultracold atoms inherently suffer from shot-to-shot atom number fluctuations which limit the precision. The UQGG Lattice team have demonstrated a technique for preparing a large cloud of a specific number of atoms with unprecedented low uncertainty. The usual atom number fluctuation of about 10% are reduced to below 0.1%!

During the experimental procedure, a series of non-destructive Faraday images probe the number of atoms in the cloud. A field programmable gate array provides online data analysis and performs feedback by removing atoms from the cloud until the desired number of atoms are reached. Finally, a second series of Faraday images confirm the number of atoms remaining in the cloud.

By creating similar atom clouds reproducibly, this newly developed technique can potentially improve the performance of atomic clocks and other high-precision measurements or simply just reduce the number of hours the typical graduate student has to spend in the lab to obtain data of sufficiently high quality.

The results have been published in Physical Review Letters as an Editors' Suggestion. Additionally, the work is featured in Physics, where a Focus article was written. The article can be found on arXiv as well.

(08/2016)

Goodbye Miroslav! Welcome Magnus and Mikkel! Congratulations Theis!

Recently, Miroslav Gajdacz got a job at OFS Denmark, which develops optical fibres, and he thus left the group. He has done great research in the Lattice lab, where his main contribution was the implementation of Faraday imaging and the use of this to prepare ultracold atom clouds at the shot noise limit. Additionally, he has published several theory papers on atomtronics and the quantum speed limit. Based on his research, he obtained his PhD last fall and has since then continued his studies as a Posdoc. We wish him the best of luck in his future endeavours!

The next generation of PhD students in the UQGG has however arrived! Mikkel Berg Christensen has started in the Lattice lab. The recently developed precise production of ultracold samples will allow him to aid in exploring new frontiers of quantum gases. Additionally, Magnus Graf Skou has started in the MIX lab. The recent observation of polarons in a Bose-Einstein condensate has opened up for studies of quantum impurities in regimes never before realized.

Finally, Theis recently obtained his masters degree! He was a great asset for the group throughout the last year. His main contribution was made in the MIX lab where he aided to observe the Bose polaron. He will continue to work in the group as a research assistant.

(08/2016)

Observation of Attractive and Repulsive Polarons in a Bose-Einstein Condensate

Mobile impurity particles interacting with a bosonic quantum environment play a central role in our understanding of nature and are fundamental for several important technologies such as organic electronics. It is therefore highly desirable to study impurity physics systematically and from a broad perspective as offered by cold atomic gases.

We present the experimental realization of long-lived impurity atoms in an atomic Bose-Einstein condensate. The energy of the impurity is measured and we find excellent agreement with theories that incorporate three-body correlations, both in the weak-coupling limits and across unitarity. For both strong repulsive and strong attractive interactions, our experimental results demonstrate the existence of a polaron quasiparticle.

The manuscript has been published in Physical Review Letters as an Editors' Suggestion, back-to-back with results from the group of Eric Cornell and Deborah Jin at JILA. Additionally, it can be found on arXiv.

Our results are also featured in several news outlets which appeal to a broader audience:

Physics Viewpoint: Bose Polarons that Strongly Interact

Quasipartikler som klumper i kold kvantesuppe (danish)

(07/2016)

Semi-classical dynamics of superradiant Rayleigh scattering in a Bose–Einstein condensate

Due to its coherence properties and high optical depth, a Bose–Einstein condensate [BEC] provides an ideal setting to investigate collective atom-light interactions. Superradiant light scattering in a BEC is a fascinating example of such an interaction. It is an analogous process to Dicke superradiance, in which an electronically inverted sample decays collectively, leading to the emission of one or more light pulses in a well-defined direction. Through time-resolved measurements of the superradiant light pulses emitted by an end-pumped BEC, we study the close connection of superradiant light scattering with Dicke superradiance. A 1D model of the system yields good agreement with the experimental data and shows that the dynamics result from the structures that build up in the light and matter-wave fields along the BEC. This paves the way for exploiting the atom–photon correlations generated by the superradiance.

You can read the article in a special issue of Journal of Modern Optics and on arXiv. (07/2016)

Phase Separation and Dynamics of two-component Bose-Einstein condensates

The miscibility of two interacting quantum systems is an important testing ground for the understanding of complex quantum systems. Two-component Bose-Einstein condensates enable the investigation of this scenario in a particularly well controlled setting. In a homogeneous system, the transition between mixed and separated phases is characterised by a 'miscibility parameter'. In this theoretical analysis we have shown that this parameter is no longer the optimal one for trapped gases, for which the location of the phase boundary depends critically on atom numbers.

The manuscript has been published in Physical Review A and is also available on arXiv. (07/2016)

A simple laser locking system based on a field-programmable gate array

Modern quantum gas labs require a number of laser systems which are typically difficult to construct or expensive to buy commercially. We have developed a laser frequency stabilization system based on a field-programmable gate array, with emphasis on hardware simplicity, which offers a user-friendly alternative to commercial and previous home-built solutions. Frequency modulation, lock-in detection and a proportional-integral-derivative controller are programmed on the field-programmable gate array and only minimal additional components are required to frequency stabilize a laser. The locking system is administered via LabVIEW from a host-computer which provides comprehensive, long-distance control through a versatile interface. The source code is available online.

The manuscript is published in Review of Scientific Instruments and is available on arXiv. (07/2016)

Research receives attention in popular media

Recently, an international collaboration including Jan Arlt published an article in Nature Communications: Satisfying the Einstein–Podolsky–Rosen criterion with massive particles

Two popular articles were written in danish based on this research:

Den havde Einstein ikke set komme (Einstein didn't see that coming)

Ny fysisk metode bruges til at lave afsindigt præcise målinger (New method in physics allows incredibly precise measurements)

(03/16)

New grant: Experiments with Quantum Test Beds

Jan Arlt has received a grant from VILLUM FONDEN valued at DKK 4.7 million. View more details here. (01/2016)

Time limited optimal dynamics beyond the Quantum Speed Limit

Phys. Rev. A 92, 062106

The quantum speed limit sets the minimum time required to transfer a quantum system completely into a given target state. At shorter times the higher operation speed results in a loss of fidelity. Here we quantify the trade-off between the fidelity and the duration in a system driven by a time-varying control. The problem is addressed in the framework of Hilbert space geometry offering an intuitive interpretation of optimal control algorithms. This approach leads to a necessary criterion for control optimality applicable as a measure of algorithm convergence. The time fidelity trade-off expressed in terms of the direct Hilbert velocity provides a robust prediction of the quantum speed limit and allows one to adapt the control optimization such that it yields a predefined fidelity. The results are verified numerically in a multilevel system with a constrained Hamiltonian and a classification scheme for the control sequences is proposed based on their optimizability. (12/2015)

First paper from the MIX lab published!

Tunable dual-species Bose-Einstein condensates of 39K and 87Rb

Phys. Rev. A 92, 053602

We present the production of dual-species Bose-Einstein condensates of 39K and 87Rb. Preparation of both species in the |F=1,mF=−1> state enabled us to exploit a total of three Fesh\-bach resonances which allows for simultaneous Feshbach tuning of the 39K intraspecies and the 39K-87Rb interspecies scattering length. Thus dual-species Bose-Einstein condensates were produced by sympathetic cooling of 39K with 87Rb. A dark spontaneous force optical trap was used for 87Rb, to reduce the losses in 39K due to light-assisted collisions in the optical trapping phase, which can be of benefit for other dual-species experiments. The tunability of the scattering length was used to perform precision spectroscopy of the interspecies Feshbach resonance located at 117.56(2)G and to determine the width of the resonance to 1.21(5)G by rethermalization measurements. The transition region from miscible to immiscible dual-species condensates was investigated and the interspecies background scattering length was determined to 28.5a0 using an empirical model. This paves the way for dual-species experiments with 39K and 87Rb BECs ranging from molecular physics to precision metrology. (11/2015)

Nils wins Researchers Battle 2015

In a dissemitation contest with other PhD students from Aarhus University, Nils presented his research in ultracold atoms for a general audience in just four minutes. Through a vote from the audience and three referees, he won the contest! Read more here where au.dk covered the event. (09/2015)

Congratulations to Mirek!

On the 23rd of September, Miroslav Gajdacz successfully defended his PhD thesis "Stabilizing production of atomic clouds". The assessment committee consisted of Prof. Dr. Christiane Koch from University of Kassel and Prof. David Guéry-Odelin from the University of Toulouse. He will carry on his scientific work by continuing in the group as a postdoctoral researcher. (09/2015)

Congratulations to Lars!

On the 22nd of September, Lars Johann Wacker successfully defended his PhD thesis "Few-body physics with ultracold potassium rubidium mixtures". The assessment committee consisted of Prof. Selim Jochim from Heidelberg University and Dr. Steven Knoop from the University of Amsterdam. He will carry on his scientific work by continuing in the group as a postdoctoral researcher. (09/2015)

Congratulations to Danny!

Danny Birkmose successfully defended his Master thesis "Investigation of Dual Species Bose Einstein Condensates". Danny has been working as a master student on the MIX experiment for the last year. (08/2015)

A continuously pumped reservoir of ultracold atoms

Typical sources of ultracold atoms operate with a considerable delay between the delivery of ensembles due to sequential trapping and cooling schemes. Therefore, alternative schemes for the continuous generation of ultracold atoms are highly desirable. Here, we demonstrate the continuous loading of a magnetic trap from a quasi-continuous atom beam. We achieve a steady state with 3.8x107 magnetically trapped atoms and a temperature of 102uK. The ensemble is protected from laser light sources, a requirement for its application in metrological tasks or sympathetic cooling. The continuous scheme is robust and applicable to a wide range of particles and trapping potentials.

In addition, this work received media attention at 2physics and at Physicsworld.com. The paper can be found here. (07/2015)

New grant: Few-body Quantum Physics with Ultracold Atoms

Jan Arlt has received a grant from The Danish Council for Independent Research valued at DKK 2.6 million. View more details here (in danish). (05/2015)

Goodbye to Nils

After finishing his PhD and spending a year as a postdoctoral researcher, Nils Winter is leaving the group to go back to Germany, where he will pursue a career outside of academia. We wish him the best of luck in all future endeavours! (01/2014)

Congratulations to Poul!

On the 7th of November, Poul Lindholm Pedersen successfully defended his PhD thesis "Multi-mode spin dynamics of a Bose-Einstein condensate in an optical lattice". The assessment committee consisted of Chargé de recherché Fabrice Gerbier from Collège de France in Paris and Prof. Dr. Artur Widera from the Kaiserslautern University of Technology. (10/2014)

First dual condensate in MIX lab

The first heteronuclear 39K-87Rb BEC-Mixtures were produced in the MIX laboratory on the 12th of May. The inter-species tunablility of the scattering length between 39K-87Rb allows for a wide range of exciting experiments including fundamental investigations of interactions in heteronuclear many particle quantum systems, molecular quantum gasses, and the simulation of the impurity problem under changing interactions. Currently, both condensates have around 104 atoms. (05/2014)

Time limited optimal dynamics beyond the Quantum Speed Limit

The quantum speed limit sets the minimum time required to transfer a quantum system completely into a given target state. At shorter times the higher operation speed has to be paid with a loss of fidelity. Here we quantify the trade-off between the fidelity and the duration in a system driven by a time-varying control and interpret the result in Hilbert space geometry. Formulating a necessary convergence criterion for Optimal Control (OC) algorithms allows us to implement an algorithm which minimizes the process duration while obtaining a predefined fidelity. http://arxiv.org/abs/1405.6079 (05/2014)

Spin dynamics in a two dimensional quantum gas

Published in Physical Review A, Rapid comm.!

We have investigated spin dynamics in a 2D quantum gas. Through spin-changing collisions, two clouds with opposite spin orientations are spontaneously created in a Bose-Einstein condensate. After ballistic expansion, both clouds acquire ring-shaped density distributions with superimposed  angular density modulations. The  density distributions depend on the applied magnetic field and are well explained by a simple Bogoliubov model. We  show that the two clouds are anti-correlated in momentum space. The observed momentum correlations pave the way towards the creation of an atom source with non-local Einstein-Podolsky-Rosen entanglement. (05/2014)

One- and two-qubit quantum gates using superimposed optical-lattice potentials

Published in Physical Review A!

We propose an architecture which allows for the merger of a selected qubit pair in a long-periodicity superlattice structure consisting of two optical lattices with close-lying periodicity. We numerically optimize the gate time and fidelity, including the effects on neighboring atoms and in the presence of experimental sources of error. Furthermore, the superlattice architecture induces a differential hyperfine shift, allowing for single-qubit gates. The fastest possible single-qubit gate times, given a maximal tolerable rotation error on the remaining atoms at various values of the lattice wavelengths, are identified. (03/2014)

Congratulations to Nils!

On the 31st of January, Nils Winter defended his PhD thesis "Creation of 39K Bose-Einstein condensates with tunable interaction". The assessment committee consisted of Professor Gerhard Birkl from the Technical University of Darmstadt and Professor Henning Moritz from the University of Hamburg. Nils is continuing in the group as a post-doctoral researcher. (01/2014)

First BEC in HiRes labs

The first Bose-Einstein condensate in the HiRes experiment was obtained on Tuesday the 21st of January. The HiRes experiment is aiming at investigating cold gases in optical lattices using high optical resolution. More information here. (01/2014)

New national laser centre: DANLASE

A new national laser centre has been initiated by the Danish Ministry of Science, Innovation and Higher Education. One of the centre's objectives is to promote laser knowledge to industrial and research partners. DANLASE (Danish National Laser Centre) is an interdisciplinary centre with close collaboration between Aarhus University (AU) and the Technical University of Denmark (DTU). We will be part of this centre, with particular emphasis on high precision frequency measurements. Read the news announcement here. (01/2014)

Spontaneous symmetry breaking in spinor Bose-Einstein condensates

Published in Physical Review A!

Within this paper we present an analytical model for the theoretical analysis of spin dynamics and spontaneous symmetry breaking in a spinor Bose-Einstein condensate. This allows for an intuitive understanding of the processes and provides good quantitative agreement with earlier experiments. One main result is that the dynamics of a spinor BEC can be understood by approximating the effective trapping potential with a cylindrical box. The resonances in the creation efficiency of the atom pairs can thus be traced back to excitation modes of this confinement. This allows for a characterization of the symmetry-breaking mechanism, showing how a twofold spontaneous breaking of spatial and spin symmetry can occur. (11/2013)

IFA Football Tournament

For this year's IFA Football Tournament the Ultracold Quantum Gas Group participated  with the team "BEChams".  (09/2013)

DHL relay

On the 29th of August, the two UQGG teams "BECstreet Boys" and "We got gas!" participated in the annual DHL relay with times 2:23:20 and 2:02:50 respectively. (08/2013)

K BEC in the MIX lab

On the 15.8 the first 39K BECs were realized in the MIX laboratory. The tunablility of the scattering length in 39K allows for a variety of experiments including strongly-correlated systems in optical lattices, molecular quantum gasses and funadamental investigations of interactions in many particle quantum systems.
So far we have about 104 39K atoms in the condensate! (08/2013)

Welcome to Robert and Nils!

Robert Heck and Nils Byg Jørgensen joined the group in August 2013 as graduate students. Robert will be working on setting up the new HiRes experiment, and Nils will be working on the MIX experiment. (08/13)

Production and manipulation of wave packets from ultracold atoms in an optical lattice

Published in Physical Review A!

Within the combined potential of an optical lattice and a harmonic magnetic trap, it is possible to form matter wave packets by intensity modulation of the lattice. The modulation technique also allows for a controllable transfer (de-excitation) of atoms from such wave packets to a state bound by the lattice. Thus, it acts as a beam splitter for matter waves that can selectively address different bands, enabling the preparation of atoms in selected localized states. Here, we use the de-excitation for precision spectroscopy of the anharmonicity of the magnetic trap. Finally, we demonstrate that lattice modulation can be used to excite matter wave packets to even higher momenta. http://arxiv.org/abs/1306.1082 (08/13)

Goodbye to Ridha

At the end of July, Ridha Horchani left the group to take up a new position at the Instituto de Física de São Carlos at the University of Sãu Paulo. Ridha has been working as a post-doctoral researcher on the MIX experiment and will work on setting up a new potassium-rubidium experiment in Brazil. (07/13)

Faraday imaging

Published in Review of Scientific Instruments!

We introduce an easily implementable method for non-destructive measurements of ultracold atomic clouds based on dark field imaging of spatially resolved Faraday rotation. The dependence on laser detuning, atomic density and temperature is characterized in a detailed comparison with theory. Due to low destructiveness, the same cloud can be imaged up to 2000 times. The technique is applied to avoid the effect of shot-to-shot fluctuations in atom number calibration, to demonstrate single-run vector magnetic field imaging and singlerun spatial imaging of the system’s dynamic behavior. This paves the way towards quantum state engineering using feedback control of ultracold atoms. http://arxiv.org/abs/1301.3018 (07/2013) 

Evolutionary optimization of an experimental apparatus

Published in Applied Physics Letters!

In recent decades, cold atom experiments have become increasingly complex. While computers control most parameters, optimization is mostly done manually. This is a time-consuming task for a high-dimensional parameter space with unknown correlations. Here we automate this process using a genetic algorithm based on differential evolution. We demonstrate that this algorithm optimizes 21 correlated parameters and that it is robust against local maxima and experimental noise. The algorithm is flexible and easy to implement. Thus, the presented scheme can be applied to a wide range of experimental optimization tasks. Appl. Phys. Lett. 102, 214105 (05/13)

Congratulations to Troels!

The  25th of April, Troels Mørch defended his Master thesis "Spinor Dynamics and Faraday Imaging of Ultra-Cold Gasses". Troels has been working as a master student on the Lattice experiment for the last year. (04/2013)

First MOT in the HiRes lab

On the 18th of February, the first MOT was realized in the new High Resolution Experiment. The system consists of a combined 2D and 3D MOT, and it will form the basis for creating BECs in the new experiment. (02/13)

Welcome to Ridha

In August Ridha Horchani joined group as a postdoctoral researcher on the MIX experiment. Ridha previously worked at Laboratoire Aimé Cotton on cooling of cesium molecules. (08/2012)

Pump–probe coupling of matter wave packets to remote lattice states

Published in NJP!

We demonstrate the experimental realization of quasi-free wave packets of ultra-cold atoms bound by an external harmonic trap. The wave packets are produced by modulating the intensity of an optical lattice containing a Bose–Einstein condensate. The evolution of these wave packets is monitored in situ and their six-photon reflection at a band gap is observed. In direct analogy with pump–probe spectroscopy, a probe pulse allows for the resonant de-excitation of the wave packet into states localized around selected lattice sites at a long distance from the main component. New J. Phys. 14 083013 (2012) (08/2012) 

Welcome to Andrew and Mark

In July Andrew Hilliard and Mark Bason joined our group as postdoctoral researchers. In the coming years they will work on the existing lattice and the new HiRes experiments. We all look forward to the exciting experiments to come in these setus. (07/2012)

Lars wins DFS poster prize!

At the recent meeting of the Danish Physical Society (DFS) Lars won the poster price! Congratulations! He shares the prize with Ditte Både Sandkamm from the short pulse laser group. The official announcement with a nice picture can be found here. (06/2012)

Dynamical control of matter-wave splitting using time-dependent optical lattices

Published in PRA!

We report on measurements of splitting Bose-Einstein condensates by using a time-dependent optical lattice potential. In this work we demonstrate the division of a BEC into a set of equally populated components and we apply time-dependent optical Bragg mirrors to a BEC oscillating in a harmonic trap. In addition a combination of multiple Bragg reflections and Landau-Zener tunneling allows for the generation of macroscopic arrays of condensates. arXiv:1203.6683 and Phys. Rev. A 85, 033626 (2012) (03/2012)

BEC in the MIX lab

The first BEC in the MIX laboratory was realized on the 15.2.2012! The magnification of the imaging system is only set to 1 at the moment, and so far it is not focussed very well. Nonetheless the low expansion of the cloud provides clear evidence for BEC. It took us roughly 5 months to make a BEC after moving the apparatus from Hannover to Århus. The number of atoms and the temperature seems to be the same as in our previous work! Now we can start to optimise! (02/2012)

New Fibre amplifier arrived

The MIX experiment just received its new fibre amplifier! This will allow us to capture large samples of rubidium and potassium in a hybrid trap. Total powers of up to 50W will allow up to five times deeper traps under similar experimental conditions. Now we can finally proceed to make BECs in the MIX experiment once again! (1/2012)

Welcome to Lars

In December our group was joined by Lars Wacker, who previously did his Diploma Thesis at Hamburg University. He is currently getting started on the MIX experiment with lots of plans for 2012. (01/2012)

Lundbeck Junior Group Leader Fellowship

The Lundbeck foundation has recently awarded a Junior Group Leader Fellowship to Jan Arlt to pursue research on spinor gasses in optical lattices. The fellowships are intended for young researchers to establish or develop their own research groups in frontline basic- or applied research. (11/2011)

Twin Matter Waves for Interferometry Beyond the Classical Limit

Published in Science Express!

Interferometers with atomic ensembles constitute an integral part of modern precision metrology. However, these interferometers are fundamentally restricted by the shot noise limit, which can only be overcome by creating quantum entanglement among the atoms. We used spin dynamics in Bose-Einstein condensates to create large ensembles of up to 104 pair-correlated atoms with an interferometric sensitivity -1.6 dB beyond the shot noise limit. Our proof-of-principle results point the way toward a new generation of atom interferometers. (10/2011)

Danish press release

Science DOI: 10.1126/science.1208798

First MOT in the new labs

The first MOT was realized in the new MIX laboratory on the 13.9.2011 only 10 working DAYS after moving the experiment from Hannover to Århus! The atom number looks good and we can now start setting up the atom transport and detection. (09/2011)

The MIX experiment has arrived in Århus

The MIX experiment has finally arrived in Århus and successfully moved into its new laboratory! The experiment was partially disassembled in Hannover and moved to Århus by truck. Only the vacuum system (including glass cells) remained in one piece and under vacuum. The delicate vacuum system remained intact which should allow us to rebuild the experiment very quickly! Have a look at more images from the move! (8/2011)

Extended coherence time of optically trapped Rubidium

Published in PRL!

Optically trapped atoms are very importnat  for frequency measurements and quantum memories, but generally suffer from strong dephasing due to inhomogeneous density and light shifts. We have demonstrated a drastic increase of the coherence time to 21 s on the magnetic field insensitive clock transition of 87Rb by applying the recently discovered spin self-rephasing mechanism. The presented frequency standard provide high stability in a potentially very compact setup. arXiv:1103.2283 and Phys. Rev. Lett. 106, 240801 (2011) (06/2011)

BEC in the new lab

The first BEC was realized in our new laboratory on the 3.5.2011 roughly 5 months after making the last BEC in our old lab and moving the experiment! The number of atoms and their temperature is looking good and we can now fine tune it! (05/2011)

MOT on a mesoscopic atom chip

Published in PRA!

In a collaboration with the at the Institut für Quantenoptik, Leibniz Universität Hannover we realized a novel mesoscopic atom chip. Magneto-optical traps on atom chips are usually restricted to small atomic samples due to a limited capture volume. Our magneto-optical trap with minimized magnetic field distortions is based on a mesoscopic wire structure which provides a loading rate of 8.4 1010 atoms/s and a maximum number of 8.7 109 captured atoms. Since all magnetic fields are applied locally, the setup will allow parallel generation of Bose-Einstein condensates on a conveyor belt with a cycle rate above 1 Hz. arXiv:1012.4321v1 or Phys. Rev. A 83, 043406 (2011) (04/2011)

Welcome to Mirek

Earlier this year we were joined by Miroslav Gajdacz, who has been awarded a Lindhard scholarship at the Department of Physics and Astronomy. He is attending some courses and intensively participates in rebuilding the lab. He will join our first experiments on lattice modulation spectroscopy. (3/2011)

First MOT in the new labs

The first MOT was realized in our new laboratory on the 16.2.2011 only 9 working weeks after moving the experiment! The atom number has grwn quickly since and currently we start our experiments with 5*109 Rb atoms (02/2011)

Congratulations to Sune

Last Thursday Sune Mai successfully defended his PhD thesis. He gave the customary 30 minute presentation and then answered detailed questions by his examinors for one hour!

Here is a fun perspective on the defence. (01/2011)

Welcome to Nitya

In late December Nityanand Sharma from India has joined our group as a project student for a few months. He will be building an off-resonant laser system to complement our experiment. (12/2010)

The lattice experiment has moved

The lattice experiment has successfully moved to its new laboratory underneath the physics building! The experiment was moved under vacuum and with most optical elements installed. This should allow us to resume our experiments with moderate rebuilding. We hope to be back up and running in the late spring! Have a look at all the images from the move! (12/2010)

New laboratories are finished!

Our new laboratories are finally finished. New laboratories for the lattice and the mixtures experiments were built within the former accelerator target hall. The transition from a large accelerator target room to a number of quantum optics labs can be viewed on our gallery pages. We look forward to our new scientific home! (11/2010)

Spin dynamics in dipolar Bose-Einstein condensates

Published in PRA!

Spin-changing collisions may lead to the parametric amplification of matter waves. This behaviour may be modified by magnetic dipole-dipole interactions, although they are typically very weak in alkaline atoms. We show theoretically that they play a very relevant role and also analyze the important role of magnetic-field gradients. These must be carefully controlled in future experiments, to observe the effects of the dipolar interactions in the amplification dynamics. arXiv:1005.2011 and Phys. Rev. A 82, 053608 (2010)

Welcome to Nils and Poul!

Both have recently joined the group as new PhD students.
Their contact details can be found at:

Nils Winter   
Poul L. Pedersen

Here is a fun perspective on the PhD.

Spontaneous symmetry breaking in spinor condensates

Published in PRL!

Parametric amplification of quantum fluctuations constitutes a fundamental mechanism for spontaneous symmetry breaking. In our experiments, a spinor condensate acts as a parametric amplifier of spin modes, resulting in a twofold spontaneous breaking of spatial and spin symmetry in the amplified clouds. Our experiments permit a detailed understanding of the twofold symmetry breaking mechanism. arXiv:1007.2342 and Phys. Rev. Lett. 105, 135302 (2010)

A slow gravity compensated Atom Laser

We report on a slow guided atom laser beam outcoupled from a Bose-Einstein condensate of 87Rb atoms in a hybrid trap. The acceleration of the atom laser beam can be controlled by compensating the gravitational acceleration and we reach residual accelerations as low as 0.0027 g.  arXiv:1005.3964 and Applied Physics B (2010)

Parametric amplification of vacuum fluctuations

Parametric amplification of vacuum fluctuations is crucial in modern quantum optics, enabling the creation of squeezing and entanglement. We demonstrate the parametric amplification of vacuum fluctuations for matter waves using a spinor F=2 87Rb condensate. The system provides a direct path towards the generation of non-classical states of matter on the basis of spinor condensates. Phys. Rev. Lett. 104, 195303 (2010)