// Aarhus University / Physics / Subatomic Physics / Nuclear Theory
>
Introduction to General Theory of Relativity. Fall 2013.
- NB:
-
- There will be two examination runs --- 07.01.2014 and 22.01.2014 --- 24
hours each from 10:00 of the given day to 10:00 the next day.
The examination problems will appear on this page at 10:00 on the
examination day.
- You have to
sign up for one of the runs at the Wiki page at AULA
here. You
need to login to AULA in order to edit the wiki file.
- You have to send me your solutions my e-mail with the subject GTR
preferably from your university account (@post.au.dk). If handwritten, the
solutions can be delivered to my snail-mail post-box at the institute's
reception by 10:00, but you still need to scan them and send me as
an e-mail.
- You can use English and/or Danish in your answers.
- Note your serial number from the AULA wiki page where you signed
for the examination.
- Choose randomly one problem with the index starting with 1-, another
problem with the index starting with 2-, the third problem with the
index starting with 3-, and the fourth problem with the index starting
with 4-. In total four problems.
- For students with serial numbers (1,4,7,10,13,16,19) the problems are
located here.
- For students with serial numbers (2,5,8,11,14,17,20) the problems are
located here.
- For students with serial numbers (3,6,9,12,15,18,21) the problems are
located here.
- Please do not look at each other's solutions should you by sheer
chance pick the same problem as your classmate. Experience shows that
this often leads to propagation of unique errors which does not look
good for both of you.
- Provide sufficiently extensive answers. You have to convince me that
you know what you are doing.
- Your choice of less popular problems will earn you my respect ;)
- But don't worry -- it will not affect your grade.
- At the end you may---if you wish---give me your self-evaluation
(using the 7-point Danish system: -3,0,2,4,7,10,12) of your achievements
in learning general relativity, including both the examination results
and your work during the course. This is for statistics only and will
in no way affect your grade.
- Good luck! :)
- Extra problems
-
PDF
- Lecture notes:
-
-
[
PDF;
page-1.png page-2.png page-3.png page-4.png ]
(25.06)
Introduction. Special relativity.
-
[
PDF,
page-1.png page-2.png page-3.png page-4.png ]
(25.06)
Einstein's principle of equivalence (between gravitational fields and
curved spaces).
-
[
PDF,
page-1.png page-2.png page-3.png page-4.png ]
(25.06)
Vectors in curvilinear coordinates. Covariant differentiation.
-
[
PDF,
page-1.png page-2.png page-3.png ]
(25.06)
Motion of free bodies in curved spaces. Geodesics.
-
[
PDF,
page-1.png page-2.png page-3.png ]
(25.06)
Motion of charged bodies in electrimagnetic fields in curved spaces.
-
[
PDF,
page-1.png page-2.png page-3.png page-4.png page-5.png page-6.png ]
(25.06)
Electrodynamics in gravitational fields.
Action of matter in gravitational fields. Energy-momentum tensor.
-
[
PDF,
page-1.png page-2.png page-3.png ]
(25.06)
Riemann curvature tensor;
Hilbert-Einstein action of gravitation;
Gravitational field equation (Einstein equation).
-
[
PDF,
page-1.png page-2.png page-3.png ] (25.06)
Newtonian limit of general relativity.
Gravitational waves.
-
[
PDF,
page-1.png page-2.png ] (25.06)
Schwarzschild solution. Motion in the Schwarzschild metric.
-
[
PDF,
page-1.png page-2.png page-3.png ] (25.06)
Classical tests:
anomalous perihelion shift;
bending of light;
gravitational redshift.
-
[
PDF,
page-1.png page-2.png ] (25.06)
Radial fall in the Schwarzschild metric. Lemaitre
coordinates. Event horizons. Black holes.
-
[
PDF,
page-1.png page-2.png page-3.png page-4.png ] (25.06)
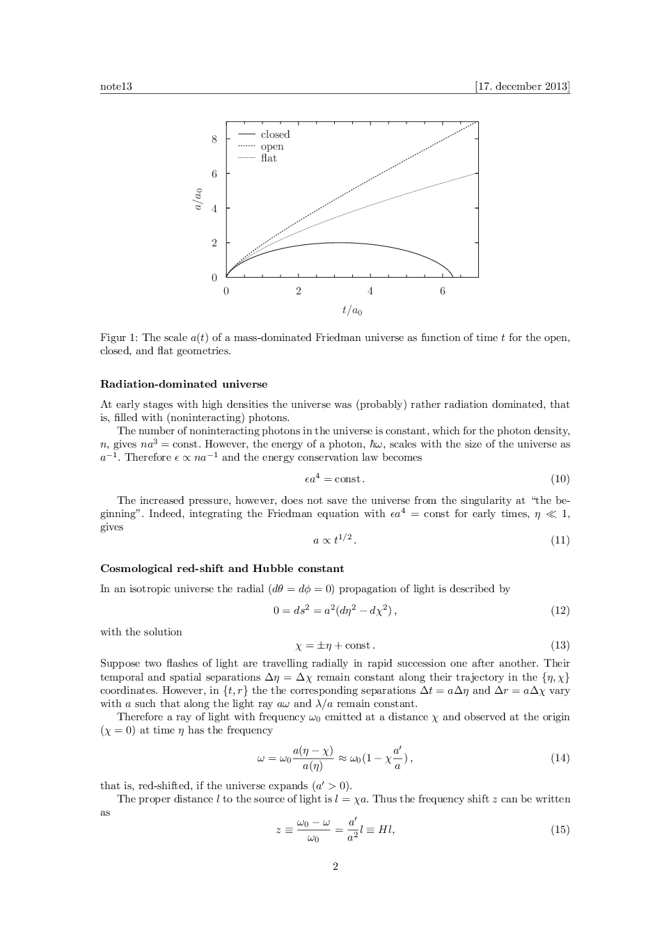
Geomerty in a homogeneous and isotropic universe.
Friedman
equation.
-
[
PDF,
page-1.png page-2.png page-3.png ] (25.06)
Solutions to Friedman equation. Big Bang. Cosmological
redshift. Hubble
constant.
- Lecturer:
- Dmitri Fedorov
- Literature:
-
-
A. Einstein,
Relativity: The Special and General Theory
[ps,
PDF];
-
Gerard 't Hooft, Introduction to General Relativity
[500kB
PDF file],
Rinton Press, Inc., Princeton NJ, ISBN 1-58949-000-2.
-
Warren Siegel, Fields,
http://arxiv.org/abs/hep-th/9912205,
(1215kb PDF file).
- Links:
-
Old home,
Wikipedia,
MathWorld
Copyleft
©
2005-2007 D.V.Fedorov
(fedorov @ phys au dk)